澳门博彩公司-博彩业的数据随机_百家乐园能贷款吗_全讯网新宝2(中国)·官方网站

教學周

門戶系統 學生 教師 校友 考生 VPN 郵箱 圖書館 EN

南大新聞

首頁 / 南大新聞 / 正文

化學學院蔡琥團隊再次發表JACS論文

作者:化學學院時間:2020-01-09
攝影 化學學院 單位 化學學院
  

本網訊(化學學院)在國際著名分子鐵電科學家熊仁根教授提出的“似球-非球”理論的指導下,近日,蔡琥團隊成功設計合成出了一例類陶瓷的分子鐵電體[3,2,1-dabco]BF4。在室溫下,該分子鐵電體表現出優異的鐵電性能和分子成膜性能。相關研究結果以“Rational Design of Ceramic-Like Molecular Ferroelectric by Quasi-Spherical Theory”為題,在化學領域頂級期刊《美國化學會志》(Journal of the American Chemical Society)發表。該論文的第一作者為魏振宏博士,第一完成單位和通訊作者單位均為南昌大學。這是繼2018年在JACS上報道第一例反鈣鈦礦分子鐵電體后,蔡琥團隊又一次在分子鐵電領域取得重要研究進展。

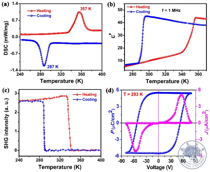
圖1.(a)類陶瓷分子鐵電體[3.2.1-dabco]BF4的合成策略示意圖, (b)分子[3.2.1-dabco]BF4立方對稱結構圖。

目前,無機陶瓷鐵電體(例如:PZT、SBT、BTO)因其成膜成本高、制備需要高溫燒結、含有潛在毒性元素等缺點,限制了其在柔性可穿戴器件的應用。與之相比,分子鐵電材料因其易于加工、對環境友好、重量輕、低聲阻抗和機械柔性而受到了研究人員的廣泛關注,它可作為常規陶瓷鐵電材料的可行替代品或有益補充。然而,由塑性相變誘發鐵電的多晶型陶瓷分子鐵電體的報道屈指可數,并且絕大部分分子鐵電體呈現單軸的鐵電性能,極大地限制了其在實際應用中的潛力。

圖2[3,2,1-dabco]BF4鐵電性能的測試表征

該研究團隊在本工作中運用“似球-非球”理論,通過化學設計的方法合成了一種在357 K上具有m3mFmm2型鐵電相變的陶瓷分子鐵電體,1,5-二氮雜二環[3.2.1]辛烷四氟化硼([3.2.1-dabco]BF4)。其可在室溫下以多晶薄膜形式顯示出色的鐵電性能。基于已報道的4/mmmFmm2型分子鐵電[2.2.2-dabco]BF4,運用化學設計的方法將[2.2.2-dabco]+陽離子改為其同分異構體[3.2.1-dabco]+,一定程度上降低了分子的對稱性并保持了準球形分子構型,從而使其極軸從2重軸提升到了6重軸,自發極化強度Ps從4.9 μC·cm-2增大到了5.5μC·cm-2。

值得一提的是,該設計思路成功地將鐵電相變從四方晶系到正交晶系的轉變擴大到從立方晶系到正交晶系的轉變。鐵電相變中極大的對稱性破缺有利于增大鐵電相到順電相的熵值,該發現將為降低制冷領域能源損耗提供一種新的途徑,是分子鐵電在固體制冷領域的新的突破。這一工作也為類陶瓷分子鐵電體的合成提供了全新的設計思路,極大地提高了其在可穿戴設備、柔性材料、生物機械等領域的應用潛力。

論文鏈接:https://pubs.acs.org/doi/10.1021/jacs.9b11665


編    輯:涂金鳳

責任編輯:許  航

巴特百家乐官网的玩法技巧和规则| 博发百家乐游戏| 百家乐官网21点| 澳门百家乐的玩法技巧和规则| 博士百家乐官网现金网| 百家乐大老娱乐| 乌拉特中旗| 网络百家乐电脑| OG百家乐官网大转轮| 宝龙娱乐城官网| 百家乐生活馆拖鞋| 搓牌百家乐官网技巧| 娱乐城免费领取体验金| 玩百家乐五湖四海娱乐城| 百家乐官网色子玩法| 太阳城在线娱乐城| 百家乐官网网上真钱赌场娱乐网规则 | 菲彩百家乐官网的玩法技巧和规则 | 菲律宾百家乐官网娱乐场| 大发888 无法进入网页| 百家乐和| 百家乐官网筹码套装100片| 百家乐官网澳门百家乐官网| 大发888真钱娱乐 博彩| 至尊百家乐网| 澳门百家乐官网官网网站| 湖口县| 大赢家娱乐城官方网| 现场百家乐牌路分析| 怎么玩百家乐官网呀| 百家乐官网真人游戏网上投注 | 全讯网网址| 百家乐视频下载| 百家乐官网娱乐网真人娱乐网| 百家乐官网怎么会赢| 大发娱乐城官网| 威尼斯人娱乐网站安全吗| 百家乐微笑不倒| 百家乐投注玩多少钱| 骰子百家乐官网的玩法技巧和规则| 百家乐官网投注综合分析法|